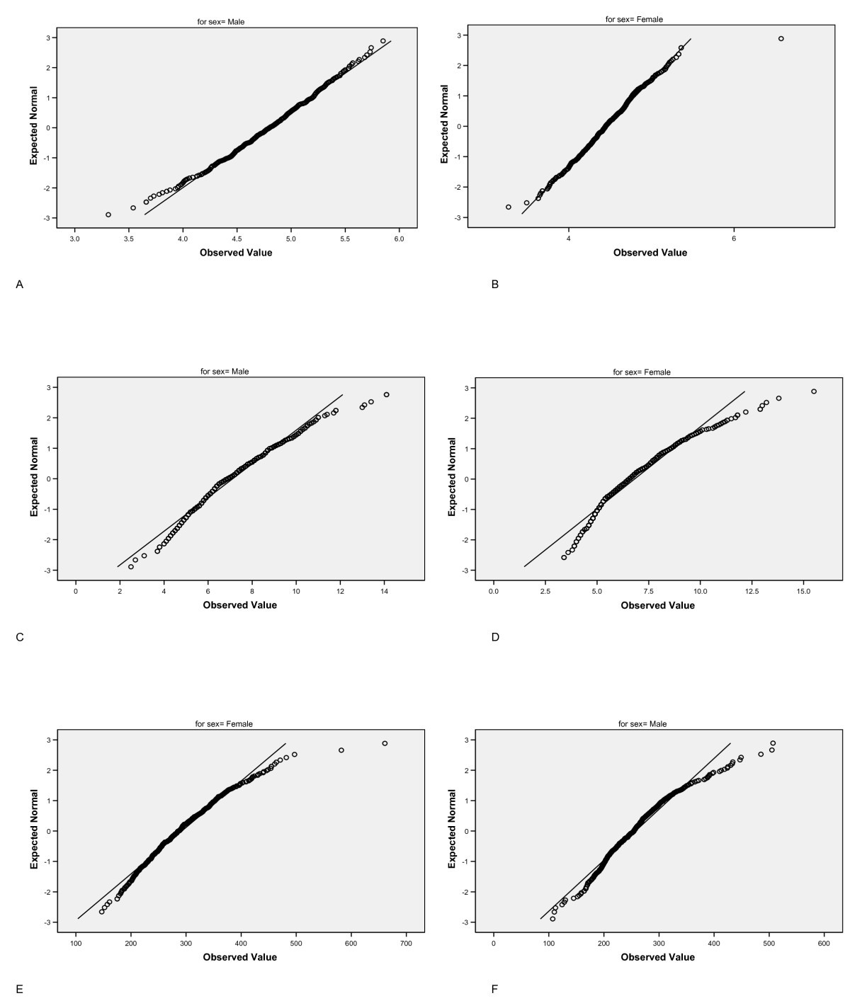
Figure 1

Q-Q plots for blood cell counts by sex. Q-Q plots of cell counts against expected normal distribution for 1027 participants aged 70 years for a) erythrocytes (men), b) erythrocytes (women), c) total leukocytes (men), d) total leukocytes (women), e) platelets (men), f) platelets (women).